高速電主軸熱態性能的有限元分析及溫升控制
電主軸作為一種新興的機床主軸結構,采用內裝式電機直接驅動形式,和傳統的主傳動方式相比,具有結構緊湊、傳動鏈短、機械效率高、噪聲低、振動小和回轉精度高等優點。電主軸的應用不僅大大提高了加工效率和加工質量,降低了產品成本,并且可以實現薄壁零件和難加工材料的精密加工。
1 電主軸的結構
2 電主軸熱載荷的分析及計算
2.2 高速電主軸熱載荷的計算
式中:
2.2.1 電機的熱載荷的計算
式中:
式中:
式中:
2.2.2 軸承熱載荷的計算
軸承的摩擦熱可由Palmgren公式計算:
式中:
式中:
式中:
由上述公式可確定出前軸承的生熱率為0.785×107W/m3,后軸承的生熱率為0.65×107W/m3。
3 電主軸熱態特性的有限元分析
將計算出的熱源生熱率與傳熱系數加載在有限元模型上,求解出環境溫度為25℃,電主軸的轉速為14000r/min時電主軸的穩態溫度場如圖3所示。
從圖3中可以看出,電主軸的最高溫度出現在電機的定子處,溫升(設置初始溫度為25℃,)達到了84.909℃,由于電機產生的熱量很難散發,熱量積累使得轉子處的溫升達到最大。而在電機定子與冷卻套附近,在冷卻套的作用下,溫升不高。軸承處的溫升為66.792℃,軸承本身的發熱量較大,因其采用油氣潤滑的方式,壓縮空氣可以帶走軸承的部分熱量,對軸承有一定的冷卻作用。
4 電主軸溫升的檢測與控制
電主軸在高速運轉的過程中產生大量的熱,熱變形對加工精度的影響很大。為提高高速加工中心的加工精度,對電主軸工作時溫度進行實時檢測與監控,在溫升過高時,通過改變冷卻系統水泵的壓力加強冷卻效果,可以有效的降低電主軸的溫升,減少熱變形,達到提高高速加工中心加工精度的目的。
高速電主軸是高速數控機床的核心部件,對機床的加工精度和效率影響很大,但其內裝式電機的結構,使得高速電主軸的發熱量大,散熱條件差,進而直接影響到主軸的精度。因此,對高速電主軸熱態特性的研究與電主軸溫升的控制是電主軸需要解決的關鍵問題之一。
如圖1所示,為高速立式加工中心上采用的電主軸。其額定功率為18.5KW,額定扭矩為68.7N·m,最高轉速為24000r/min,前后軸承均采用油氣潤滑。
2.1 電主軸熱載荷分析
高速大功率電主軸的內部熱源主要包括電機的發熱以及軸承高速運轉條件下的摩擦熱。定子產生的熱一方面通過對流由冷卻系統的冷卻水帶走,另一方面可以與周圍的空氣進行對流。轉子產生的熱量通過熱傳導直接傳遞給主軸,同時轉子與周圍空氣存在對流換熱的作用。
在利用Ansys有限元分析軟件對電主軸進行熱態分析之前,需對加載在電主軸上的熱載荷進行計算,即熱流密度與換熱系數的計算。
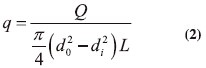
熱流密度指的是熱源單位體積的熱載荷量,在對電主軸進行熱態性能的分析時,主要考慮電主軸的熱流密度。熱流密度的計算公式為:
q為熱流密度,單位為W/m3,
Q為熱源的發熱量,單位為W,
V為熱源的體積,單位為m3。
利用(1)式分別對電主軸的主要熱源:電機定子與轉子及前后軸承的熱載荷進行計算。
電動機的定子和轉子的發熱來源于電動機的損耗。所產生其的熱量中1/3是由轉子產生的,2/3的熱量由定子產生,將定子和轉子看成厚壁圓筒,根據熱源密度的計算公式:
d0為定子(轉子)的內徑尺寸,單位為mm;
d1為定子(轉子)的外徑尺寸,單位為mm。
其中定子的內徑為114mm,外徑為179.5mm,轉子的內徑為75mm,外徑為112mm,長度L為220mm。根據公式(2)求得定子的熱源密度為898KW,轉子的熱源密度為832KW。
電機定子外殼采用螺旋槽結構的冷卻套,在螺旋槽中通入冷卻水,使其與定子進行熱交換,降低定子的溫升,進而減少電機發熱對主軸精度的影響。
在強對流條件下,傳熱系數的計算公式為:
α為傳熱系數,單位為W/(m2·℃);
D為軸徑,單位為m;
λf 為流體導熱系數,W/(m2·℃)。
Ref 為雷諾系數;
Prf 為普朗特系數。
根據式(3)與式(4)可確定在冷卻水輸入溫度為25℃ 時,定子冷卻套的產熱系數為256.5W/(m2·℃)。
電主軸在高速條件下,軸承滾子與滾道的滾動摩擦、由陀螺力矩產生的滑動摩擦為軸承發熱的主要原因。該電主軸單元采用的是角接觸陶瓷球軸承,其部分技術參數由表1所示。
Qf 為軸承摩擦的發熱量,單位為W;
M為軸承的摩擦總力矩,單位為N·m;
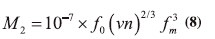
N為軸承的轉速,單位為r/min。
摩擦總力矩計算公式:
M1為軸承負荷、接觸彈性變形量及滑動摩擦有關的摩擦力矩;
M2為軸承負荷大小、潤滑劑用量、粘度及軸承轉速有關的摩擦力矩。
f1 為負荷系數,與軸承的額定靜負荷C0和當量靜負荷P0有關;
P1 為軸承摩擦力矩發熱計算負荷;
dm為軸承中徑。
根據電主軸軸對稱的結構特點,選用Ansys軟件熱分析中的plane55單元(該單元有4個節點,節點自由度為溫度)對其進行熱分析。分析時,取電主軸上半部分作為分析模型,為保證精確計算的前提,建立有限元模型時,省略電主軸結構中的后支座與拉刀機構,忽略電主軸上的螺紋孔、通氣孔等細小結構。對電主軸的有限元模型進行劃分如圖2所示。
電主軸定子處的溫度采用鎳鉻,鎳硅熱電偶進行測量,采用PLC對溫度進行控制,溫度在25℃~28℃,時,采用自然冷卻。若測量溫度大于上限值28℃,通過調節冷卻裝置水泵的壓力,加快冷卻水的流速,進而加強電主軸的對流換熱作用,達到降低電主軸溫度的目的??刂屏鞒虉D如下圖4所示。
(1)電主軸的熱態特性的分析結果表明:電主軸在高速運轉過程中,電機定子與軸承的溫升很高,因此也是電主軸的兩個主要熱源。
(2)電主軸在高速運行1800s后,溫升開始達到最大,可通過對軸身溫度的檢測與控制,調節水泵的壓力,加快冷卻水的水流速度的方法,加強冷卻系統的對流換熱的作用,達到冷卻電主軸的目的。
銷售熱線:185 7555 2252



